Вот задача — нужно найти, чему равен икс в этом выражении:
9х + 12х = 16х
Более простой по формулировке задачи у нас давно не было. Как и одновременно такой простой и сложной.
Ваш выход.
Начнём решение с того, что вспомним свойство степени:
если возвести в любую степень положительное число, оно всегда будет больше нуля.
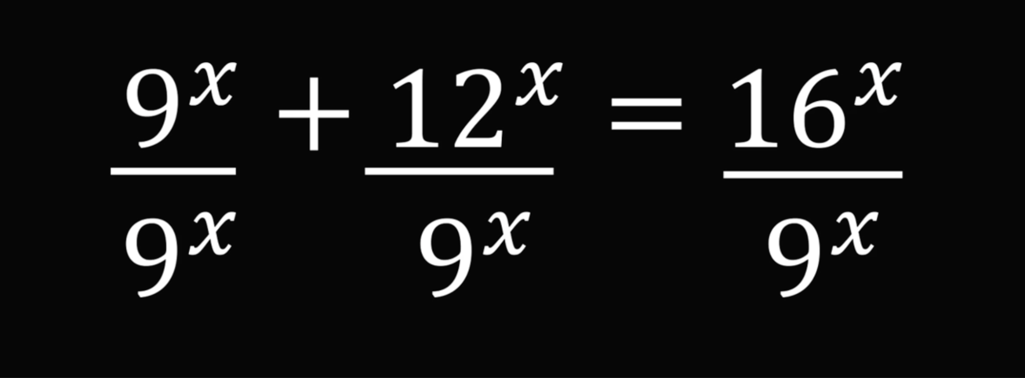
Теперь используем это для начала решения — разделим обе части на 9х:

В числителе слева у нас слагаемое — и по правилам математики мы можем представить эту часть дроби как сумму двух отдельных дробей с одинаковым знаменателем:

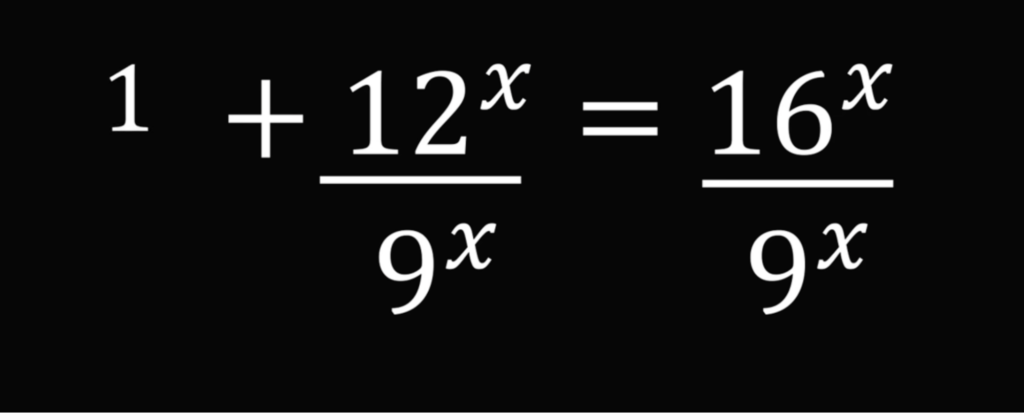
Первая дробь даёт единицу — потому что делим число само на себя:

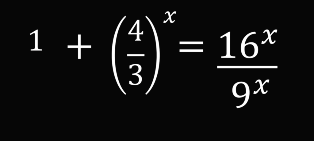
Во второй дроби обе части можно разделить на 3 — оно не равно нулю, поэтому так делать можно:

А вот с правой части равенства уже интереснее: тут и в числитель, и в знаменатель входят квадраты: 16 = 42 и 9 = 32. Это значит, что квадраты можно вынести отдельно, а потом и сам квадрат вынести к иксу:

Вот что у нас в итоге получилось:

Теперь обозначим (4 / 3)х как u и воспользуемся другим замечательным свойством степеней:
axy = (ax)y

В итоге получаем простое квадратное уравнение, которое вполне можно решить со знаниями из седьмого класса школы:

Решаем:
u2 − u − 1 = 0
находим u в общем виде через дискриминант: [1 ± √(1 + 4)] / 2 = (1 ± √5) / 2
Теперь разберёмся с тем, подходят ли нам оба варианта (где плюс и минус) или нет.
Корень из 5 чуть больше двух, значит если его вычесть из единицы (и разделить на два потом результат), то мы получим отрицательное число. Но мы помним, что u — это (4 / 3)х, а положительное число в любой степени не может быть меньше нуля. Поэтому вариант с минусом мы отбрасываем.
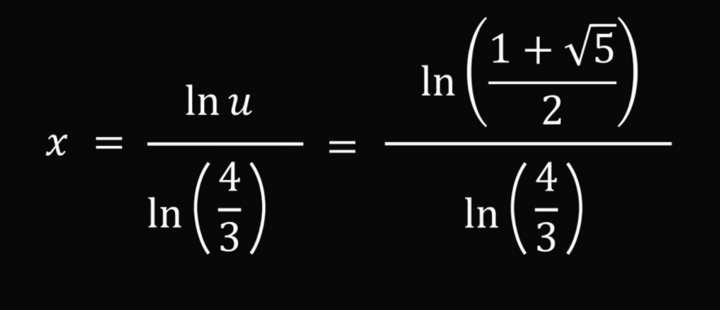
Итак, u = (1 + √5) / 2, а это значит, что (4 / 3)х = (1 + √5) / 2.
Чтобы решить такое, воспользуемся логарифмами и возьмём натуральные от обеих частей — они как раз нужны, кроме прочего, для работы со степенями:
ln(4 / 3)х = ln((1 + √5) / 2)
По свойствам логарифмов перенесём икс из степени слева в начало логарифмической записи. Чтобы не захламлять крестиками выражение, используем интерпункт вместо знака умножения:
х · ln(4 / 3) = ln((1 + √5) / 2)
Теперь решаем это уравнение, чтобы найти икс:

В принципе с точки зрения математики этого уже достаточно, чтобы считаться ответом. Но если нужна точность — держите:
х ≈ 1,673.
Держите забавный факт, как говорится джаст фо фан:
В математике и геометрии есть такая штука — золотое сечение. Оно появляется, если разделить отрезок на две части так, чтобы отношение бо́льшей части того, что получилось, к общей длине равнялось отношениям двух новых частей между собой.
А (1 + √5) / 2 — это число, известное как то самое золотое сечение (обозначается греческой буквой φ — «фи»). Его приблизительное числовое значение равно 1,6180339.
Бонус для читателей
Если вам интересно погрузиться в мир ИТ и при этом немного сэкономить, держите наш промокод на курсы Практикума. Он даст вам скидку при оплате, поможет с льготной ипотекой и даст безлимит на маркетплейсах. Ладно, окей, это просто скидка, без остального, но хорошая.
